LC39:组合总和
LC39:组合总和
题目描述
给你一个 无重复元素 的整数数组 candidates 和一个目标整数 target ,找出 candidates 中可以使数字和为目标数 target 的 所有 不同组合 ,并以列表形式返回。你可以按 任意顺序 返回这些组合。
candidates 中的 同一个 数字可以 无限制重复被选取 。如果至少一个数字的被选数量不同,则两种组合是不同的。
对于给定的输入,保证和为 target 的不同组合数少于 150 个。
示例 1:
1
2
3
4
5
6
输入:candidates = [2,3,6,7], target = 7
输出:[[2,2,3],[7]]
解释:
2 和 3 可以形成一组候选,2 + 2 + 3 = 7 。注意 2 可以使用多次。
7 也是一个候选, 7 = 7 。
仅有这两种组合。
示例 2:
1
2
输入: candidates = [2,3,5], target = 8
输出: [[2,2,2,2],[2,3,3],[3,5]]
示例 3:
1
2
输入: candidates = [2], target = 1
输出: []
提示:
1 <= candidates.length <= 302 <= candidates[i] <= 40candidates的所有元素 互不相同1 <= target <= 40
分析
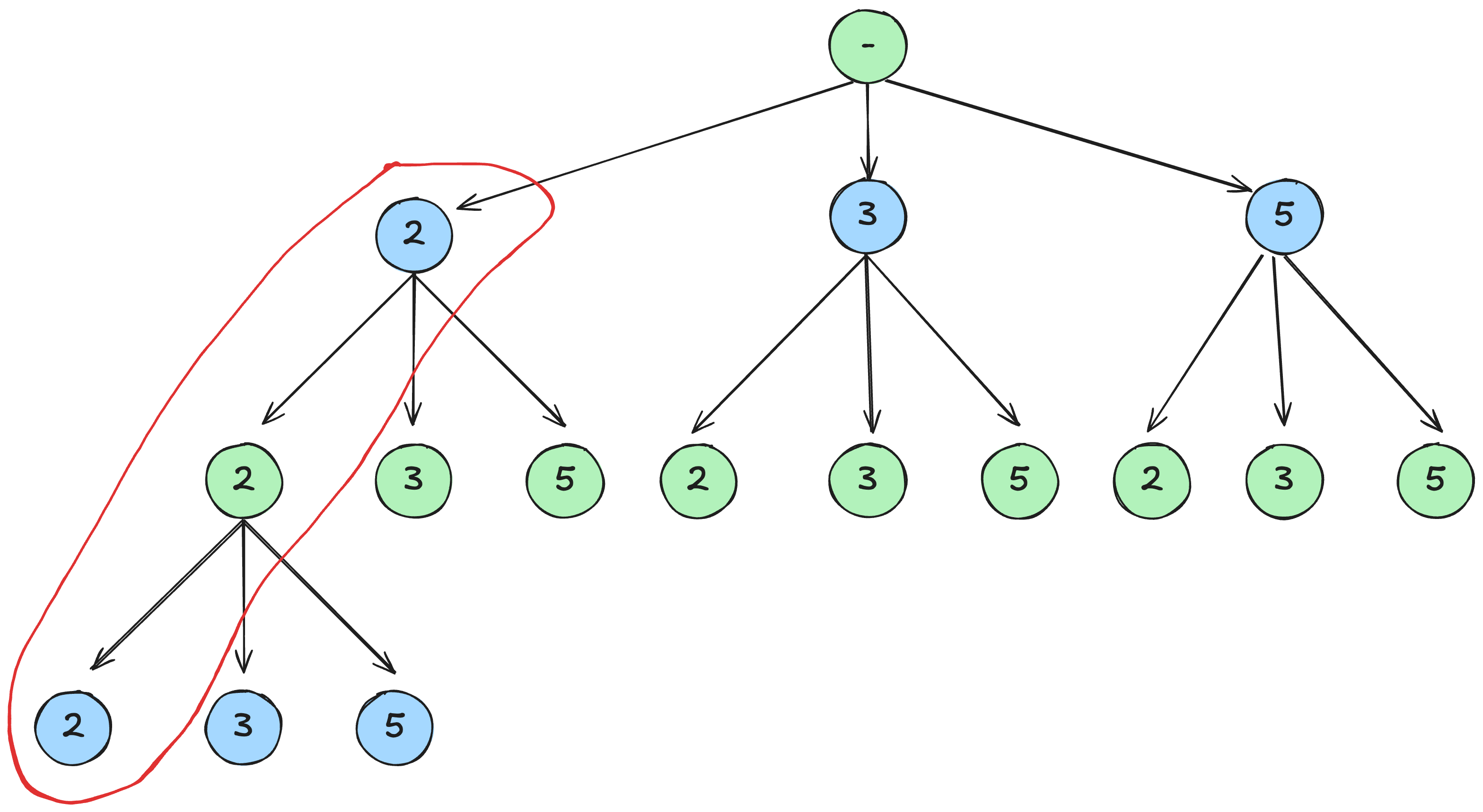
这题可以作为回溯的一个模版题。经验性地,当题目需要寻找“所有可行方案”时,可以考虑采用回溯处理。
回溯算法的运行过程实际上是图示树的建立过程:
每个节点代表选择的数字,一条从 root 到 leaf 的路径代表一种选择方案。
需要建立 一个 path 列表用来保存每次从 root 到 leaf 的路径和一个 result 列表用来保存所有可行的 path。每次调用回溯函数时,先在 path 中加入当前节点,返回前删除当前节点,因此只需要一个 path 列表即可,节省空间,同时每次保存结果需要新建一个 path 的复制列表,防止被后续过程修改。
为了防止重复计算,在回溯函数 backtrack 中加入 ind 参数,遍历时从 ind 开始即可。
在实现时,由从零开始增加选择的值改为从 target 开始减少选择的值,从而不必传递一个中间值用于保存当前的和。
实现
1
2
3
4
5
6
7
8
9
10
11
12
13
14
15
16
17
18
19
20
21
22
class Solution {
public List<List<Integer>> combinationSum(int[] candidates, int target) {
List<List<Integer>> result = new ArrayList<>();
List<Integer> path = new ArrayList<>();
backtrack(result, path, candidates, target, 0);
return result;
}
void backtrack(List<List<Integer>> result, List<Integer> path, int[] candidates, int target, int ind) {
if (target == 0) {
result.add(new ArrayList<>(path));
return;
}
for (int i = ind; i < candidates.length; i++) {
if (target - candidates[i] < 0)
continue;
path.add(candidates[i]);
backtrack(result, path, candidates, target - candidates[i], i);
path.remove(path.size() - 1);
}
}
}
This post is licensed under CC BY 4.0 by the author.

